太阳集团网tyc9728
学校主页
首页
太阳概况
学院简介
组织架构
院长寄语
通知公告
通知公告
资料下载
专业介绍
专业简介
校内实验条件
创新创业
师资队伍
化学与化工系
制药工程系
化工与制药实验中心
环境与生物工程系
教学科研
教学成果
实践成果
课程思政
科研成果
产业研究院/所
太阳集团
团学工作
群体竞赛
学生活动
产教融合
重点合作企业
校外实习实践基地
产业学院
学子风采
在校生优秀代表
毕业生优秀代表
首页
学子风采
毕业生优秀代表
正文
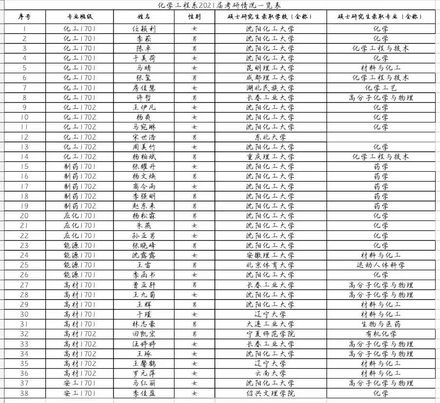
近几年化工系学生考取硕士研究生情况一览表
2434
2025-06-23 22:40:19
下条:优秀毕业生——李思源
学校地址:辽宁省沈阳市浑南区全运二西路30号
邮编:110167 电话:024-31679767/31969585
Copyright © 太阳成集团(tyc9728·中国)官方网站-Official website 版权所有
辽ICP备11020003号-1
微信平台
抖音平台
微博平台